0
Ваш заказ
Заказать пропуск
Запрос отправлен
Большое спасибо за заказ. Наши менеджеры свяжутся с вами по электронной почте для уточнения стоимости и сроков поставки.
Заказать пропуск
Символы и определения ферритовых изделий
| μi |
начальная магнитная проницаемость μi определяется как значение магнитной проницаемости на начальной кривой намагничивания, деленное на магнитную проницаемость вакуума. вычисляется при стремлении напряженности магнитного поля к нулю: μ0: магнитная проницаемость вакуума b: магнитная индукция по переменному току h: напряженность переменного магнитного поля |
| μa | амплитудная магнитная проницаемость подобна величине μ но при большой напряженности переменного магнитного поля синусоидальной формы. |
| tanδ/μi | относительный тангенс угла магнитных потерь. потери в материале сердечника при малой магнитной индукции. |
| pv | относительные магнитные потери в сердечнике потери в материале сердечника при большой магнитной индукции. |
| bms | магнитная индукция насыщения (мт) |
| brms | остаточная индукция (остаточная намагниченность) (мт) |
| hc | коэрцитивная сила (эрстед) (а/м) |
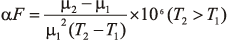
| αf |
относительный температурный коэффициент магнитной проницаемости μ1 : проницаемость при температуре t11 μ2 : проницаемость при температуре t 22 |
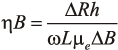
| ηb |
постоянная гистерезиса δrh: сопротивление потерь гистерезиса ω: сопротивление потерь гистерезиса l : индуктивность катушки с сердечником μe : эффективная проницаемость δb: амплитуда магнитной индукции |
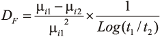
df |
коэффициент дезаккомодации начальной магнитной проницаемости μi1 : проницаемость, измеренная через время t1 1 после размагничивания μi2 : проницаемость, измеренная через время t2 2 после размагничивания |
| tc |
температура кюри температура, при которой ферромагнетик теряет свои свойства (становится парамагнетиком) |
| d |
плотность сердечника, определяется как отношение массы сердечника к его объему where w: вес магнитного сердечника (г) v: объем магнитного сердечника (см3) |
| al(nh) |
коэффициент индуктивности (одновитковая индуктивность) индуктивность катушки на определенном сердечнике, деленная на квадрат числа витков (определяется при магнитной индукции < 10гаусс, если не указано иначе). индуктивность катушки на определенном сердечнике, деленная на квадрат числа витков (определяется при магнитной индукции < 10гаусс, если не указано иначе). эффективные параметры сердечника сумма длин магнитных путей каждой секции, деленных на соответствующие эффективные сечения секций. сумма длин магнитных путей каждой секции, деленных на квадраты соответствующих эффективных сечений секций. le=c1²/c2(cm) эффективная длина магнитного пути ae=c1/c2(cm²) эффективное сечение сердечника ve=c1³/c2²(cm³) эффективный объем сердечника c1 (mm-1) постоянная сердечника aw (mm²) площадь обмотки сердечника ac (mm²) площадь сечения центрального стержня сердечника w (г) примерный вес сердечника |
23 сентября 2024 г.
